В настоящее время актуальной проблемой является приобщение студентов к регулярным занятиям физической культурой. В текущем исследовании выполнен анализ взаимосвязи между спортивной деятельностью обучающихся и медиаэффективностью социальных сообществ в освещении спортивных событий. Мы предполагаем, что активность студентов в социальных сетях, связанная со спортом в университете, положительно коррелирует со спортивными успехами образовательных институтов. Несмотря на отсутствие статистически значимой связи, близость уровня значимости к пороговому значению указывает на потенциальную эффективность использования социальных сетей для популяризации спорта среди молодежи.
Актуальной проблемой остается приобщение студентов к регулярным занятиям физической культурой и спортом, популяризация здорового образа жизни среди молодежи и развитие студенческого спорта. Как отмечают Н.В. Пешкова и соавторы, необходимо обеспечить ориентацию первокурсников в системе физкультурно-оздоровительных и спортивных мероприятий, которые проводятся в вузе, в том числе и в форме участия в них (в качестве участника, судьи, волонтера или активного болельщика) [Пешкова: 88-94].
Одним из ключевых аспектов решения данной проблемы является создание специализированных медиасообществ, которые объединяют возможности физкультурно-спортивной деятельности и предоставляют студентам информацию в доступной и удобной форме. Данный тезис согласуется с теорией использования и удовлетворения, согласно которой студенты используют цифровые сообщества для удовлетворения потребностей в информации и социальном взаимодействии [Rauniar: 195-224].
В последнее время социальные сети стали не только средством коммуникации, но и инструментом влияния, провоцирующим различные формы как девиантного поведения, так и общественно полезной продуктивной деятельности [Градюшко: 54-61]. Социальные сети, будучи мощным общественным инструментом, также могут служить платформой для продвижения здорового образа жизни и вовлечения студентов в спортивную деятельность. Таким образом, использование социальных сетей представляется целесообразным для повышения информированности студентов о физкультурно-спортивных мероприятиях. Л.Г. Пащенко и соавторы констатируют, что на данный момент у обучающихся присутствует потребность в создании цифровой платформы для вовлечения сверстников в спортивные мероприятия [Пащенко: 350-354]. По мнению специалистов, создание информационной системы по организации и контролю за проведением физкультурно-спортивных мероприятий позволит не только повысить число студентов, принимающих участие в спортивно-массовых и физкультурно-оздоровительных мероприятиях, содействуя оптимизации их физической активности, но и, в дальнейшем, привлекать население города к участию в мероприятиях, проводимых образовательной организацией.
Важно отметить роль участия студентов в организации подобных сообществ. Креативность, оригинальность, неординарность мышления позволяют студентам создавать собственный качественный медиапродукт, вполне способный конкурировать с программами региональных и центральных телеканалов. Таким образом, современный рынок массовых коммуникаций расширяется за счет спектра нового молодежного контента [Керимова: 168-170].
Сообщества, создаваемые в социальных сетях, также являются важным звеном в формировании студенческих объединений. Они выходят за рамки целевой деятельности и играют важную роль в создании условий для приобщения студентов к гуманистическим ценностям. Также они способствуют развитию и проявлению у них профессионально-значимых качеств и профессиональных компетенций, реализации студенческих созидательных инициатив [Голубева: 13]. Студенческие сообщества способствуют удовлетворению потребностей студентов в созидательной совместной деятельности, позитивной самореализации, общении; дают возможность получить первичный профессиональный опыт и выбрать траекторию дальнейшего профессионального пути и карьеры. Студенческие сообщества, создаваемые с целью развития физкультурно-спортивной деятельности в образовательных организациях, выполняют и иные воспитательные, социальные функции [Голубева: 13].
Вернемся к обсуждению значения сообществ, создаваемых в социальных сетях. На наш взгляд, информационное обеспечение физкультурно-оздоровительных и спортивных мероприятий способствует вовлечению студентов в данную деятельность и, как следствие, является фактором эффективности реализации образовательной программы в области физической культуры и спорта. На примере спортивной деятельности можно предположить, что наличие и эффективность социальных сообществ, интегрирующих обучающихся в едином медиапространстве, положительно связано с их спортивными результатами. Целью нашей работы является проверка гипотезы о том, что медиаинтерес обучающихся к физкультурно-спортивной деятельности образовательного института может быть положительно связан со спортивными результатами команд образовательных институтов.
Для оценки интереса обучающихся к физкультурно-спортивной деятельности образовательного института использовалось количество участников интернет-сообщества «ВКонтакте». На наш взгляд, количество подписчиков может служить более точным маркером интеграции студентов в медиапространстве образовательного института, в данном случае его физкультурно-спортивной составляющей.
Для выявления физкультурно-спортивных достижений образовательного института использовались результаты спартакиады ПетрГУ «Приз первокурсника». Спартакиада ПетрГУ «Приз первокурсника» – это соревнования среди команд обучающихся первого курса одиннадцати образовательных институтов. Состязания проходят по 7 видам спорта (мини-футбол, бадминтон, настольный теннис, волейбол, баскетбол, плавание, туризм). Целью спартакиады «Приз первокурсника» является популяризация физической культуры и спорта, а также пропаганда здорового образа жизни среди первокурсников. По итогам спартакиады не только становятся известны сильнейшие команды по видам спорта, но и определяется наиболее сильная команда первокурсников среди институтов по сумме набранных очков за весь турнир. Результаты, используемые в исследовании, относятся к спартакиаде, которая проходила с октября по декабрь 2024 г. Отметим, что в ходе исследования не использовались данные Института физической культуры, спорта и туризма, так как физкультурная деятельность данного структурного подразделения является обособленной, а медиапространство имеет другую систему вовлечения обучающихся к спортивной деятельности. Мы проанализировали данные следующих институтов: Институт лесных, горных и строительных наук (количество подписчиков составило 1074 человека); Институт математики и информационных технологий (количество подписчиков – 750); Физико-технический институт (количество подписчиков – 500); Медицинский институт (количество подписчиков – 1500); Институт экономики и права (количество подписчиков – 210); Институт биологии, экологии и агротехнологий (количество подписчиков – 180); Институт иностранных языков (количество подписчиков – 370); Институт филологии (количество подписчиков – 600); Институт педагогики и психологии (подписаны 640 человек); Институт истории, политических и социальных наук (подписаны 200 человек).
По итогам спартакиады Институт лесных, горных и строительных наук занял I место, Институт математики и информационных технологий – II место, Физико-технический институт – III место, Медицинский институт – IV место, Институт экономики и права – V место, Институт биологии, экологии и агротехнологий – VI место, Институт иностранных языков – VII место, Институт филологии – VIII место, Институт педагогики и психологии – IX место, Институт истории, политических и социальных наук – X место. Таким образом, гипотезой нашего исследования стало предположение о том, что итоговое место в спартакиаде ПетрГУ «Приз первокурсника» будет положительно связано с количеством участников интернет-сообщества «ВКонтакте».
* * * * *
Для проверки гипотезы был проведен корреляционный анализ с использованием рангового критерия r-Спирмена. Как уже было сказано, Институт физической культуры, спорта и туризма был исключен из анализа, сравнивались результаты только десяти образовательных институтов. Перед проведением математической процедуры анализа результаты спартакиады были инвертированы, чтобы избежать интерпретации отрицательной корреляции. Места были преобразованы так, что первое место соответствовало 10 баллам, а последнее 1 баллу.
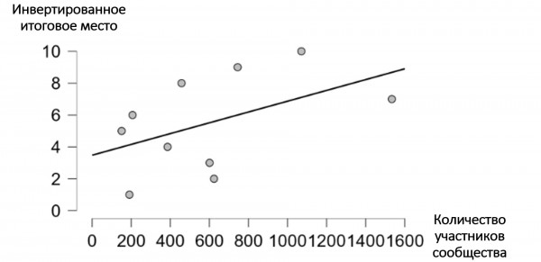
Рассмотрим полученные результаты. Коэффициент корреляции (r-Спирмена) между итоговым местом в спартакиаде ПетрГУ «Приз первокурсника» и количеством участников интернет-сообщества «ВКонтакте» равен 0,51, p-уровень значимости равен 0,07. Ниже отображены результаты исследования в графической форме (рис. 1).

Рис. 1. Диаграмма рассеяния. Отображено отношение итогового места в спартакиаде к количеству участников интернет-сообщества. Составлено автором
Полученные данные не подтверждают наличия статистически значимой связи между итоговым местом в спартакиаде ПетрГУ «Приз первокурсника» и количеством участников интернет-сообщества «ВКонтакте», посвященного физкультурно-спортивной деятельности образовательного института ввиду превышения порога значимости (p=0.066). Таким образом, мы констатируем подтверждение нулевой гипотезы об отсутствии значимой связи между исследуемыми переменными. Поэтому, к сожалению, мы не можем обращать внимание на значительный для социальных исследований коэффициент корреляции.
* * * * *
Проведенное исследование было направлено на проверку гипотезы о наличии связи между количеством участников интернет-сообществ «ВКонтакте» и спортивными достижениями команд образовательных институтов в спартакиаде ПетрГУ «Приз первокурсника». Анализ данных не выявил статистически значимой зависимости между количеством участников сообщества и итоговым местом в соревнованиях (p=0.066). Однако близость полученного уровня значимости к пороговому значению (p<0.05) не имеет принципиального значения. При этом непосредственно значение коэффициента корреляции наталкивает на мысль, что имеет смысл продолжение исследования в указанном направлении. Это важно, так как создание и развитие медиасообществ в социальных сетях может стать эффективным инструментом для вовлечения студентов в физкультурно-спортивную деятельность, что не только способствует повышению физической активности молодежи, но и создает условия для их социальной и профессиональной самореализации. На наш взгляд, группы в социальных сетях, которые имеют под собой фундамент реальных взаимоотношений, имеют значительное количество свойств и закономерностей, которые транслируют структуру социальных отношений и являются маркером важных социальных явлений.
В контексте полученных результатов важно отметить и ограничения исследования, одним из которых является возможность двунаправленной связи между количеством участников сообществ и спортивными результатами. Кроме того, количество подписчиков может зависеть от множества внешних факторов, к примеру, изначального контингента студентов в образовательных институтах ПетрГУ, что требует учета дополнительных и поиска новых независимых переменных для дальнейшего анализа в будущих исследованиях.
Список литературы
Голубева О.В. Студенческие объединения: место и роль во внеучебной деятельности вуза / О.В. Голубева, А.В. Хижная, А.А. Бушуева // Мир науки. Педагогика и психология. 2017. № 6. С. 13.
Градюшко А.А. Сообщества «ВКонтакте» и их роль в медийном ландшафте: опыт трех регионов / А.А. Градюшко, К.Р. Нигматуллина, А.В. Пустовалов // Труды БГТУ. Серия 4: Принт- и медиатехнологии. 2019. № 1(219). С. 54-61.
Керимова Д.Ф. Освещение образовательного процесса студенческими новостными интернет-каналами // Международный научно-исследовательский журнал. 2018. № 3(69). С. 168-170.
Пащенко Л.Г. Цифровизация внеучебной физкультурно-спортивной деятельности студентов в вузе / Л.Г. Пащенко, М.В. Слива, Л.В. Левкин // Ученые записки университета имени П.Ф. Лесгафта. 2022. № 3(205). С. 350-354.
Пешкова Н.В. Спортизация физического воспитания как условие развития студенческого спорта в вузах неспортивного профиля / Н.В. Пешкова, Л.И. Лубышева, А.А. Пешков // Теория и практика физической культуры. 2013. № 12. С. 88-94.
Rauniar R. Social media user satisfaction-theory development and research findings // Journal of Internet Commerce. 2013. Vol. 12. No. 2. P. 195-224.




